Ciao Giovanni, ti invio un documento che potrebbe essere utile a tutti coloro che hanno un figlio ormai maggiorenne che frequenta o deve iscriversi alll'università. Bene, non tutti sanno che gli assegni familiari erogati dall'INPS spettano tra l'altro anche per i figli maggiorenni fino ai 26 anni e nel limite del corso legale di laurea. Agli interessati dico inoltre che bisogna andare alla sede INPS con i documenti comprovanti l'iscrizione alla facoltà e farsi rilasciare il nullaosta per il prosieguo dell'erogazione degli assegni dalla azienda di appartenenza. Eventualmente stampatevi la pagina e andate a chiedere informazioni!!
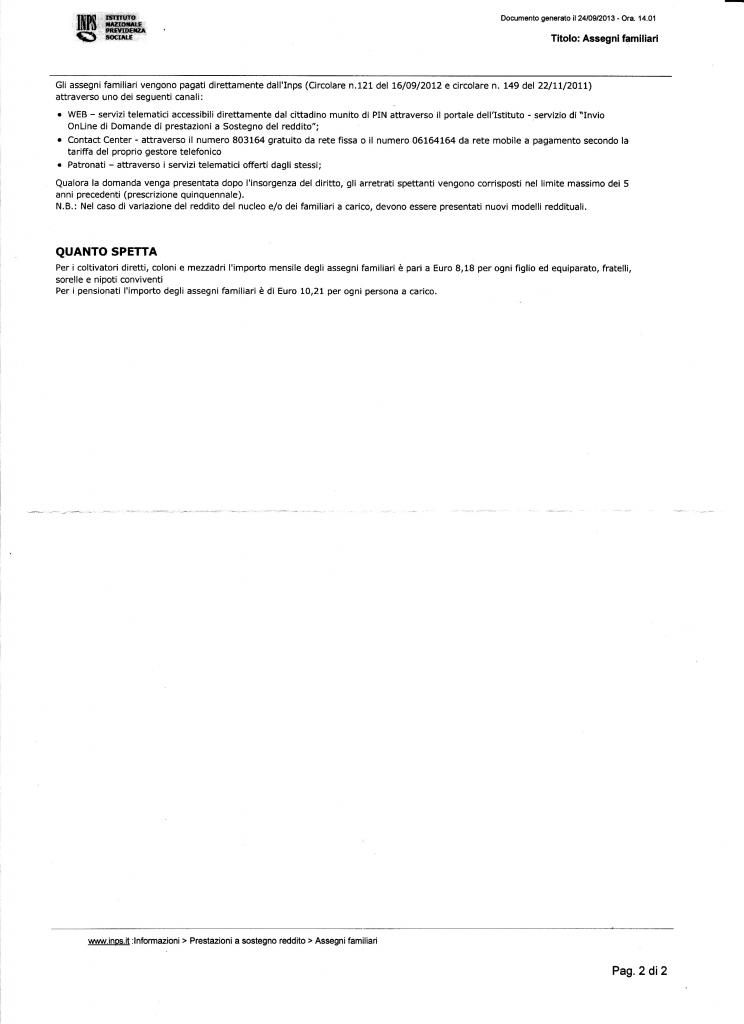
E' possibile ricevere gli eventuali arretrati fino a 5 anni.
Per la cronaca, queste informazioni mi sono state fornite dal Patronato indicato sotto, sito a Napoli in via Taddeo da Sessa. Tra qualche giorno, andrò anch'io alla sede Inps a verificare.
ASSOCIAZIONE PER LA DIFESA DEI DIRITTI
DEI CITTADINI VIA TADDEO DA SESSA, 106 NAPOLI 80143 NA CAMPANIA 081285195
CLICCA SUL LINK SOTTO E SCARICA I MODELLI


Per la cronaca, queste informazioni mi sono state fornite dal Patronato indicato sotto, sito a Napoli in via Taddeo da Sessa. Tra qualche giorno, andrò anch'io alla sede Inps a verificare.
RispondiEliminaASSOCIAZIONE PER LA DIFESA DEI DIRITTI
DEI CITTADINI
VIA TADDEO DA SESSA, 106 NAPOLI 80143 NA
CAMPANIA
081285195
Saluti. Eduardo Sabbatino